الموقع التخصصى فى الرياضيات للثانوية العامة

الموقع التخصصى فى الرياضيات للثانوية العامة (https://www.alyeldeen.com/vb/index.php)
-   سؤال وجواب الإستاتيكا (https://www.alyeldeen.com/vb/forumdisplay.php?f=91)
-   -   الاستاتيكا ارجو الاجابة ضروررى (https://www.alyeldeen.com/vb/showthread.php?t=1126)

محمد فيثاغورس 02-06-2011 08:13 PM

الاستاتيكا ارجو الاجابة ضروررى
 
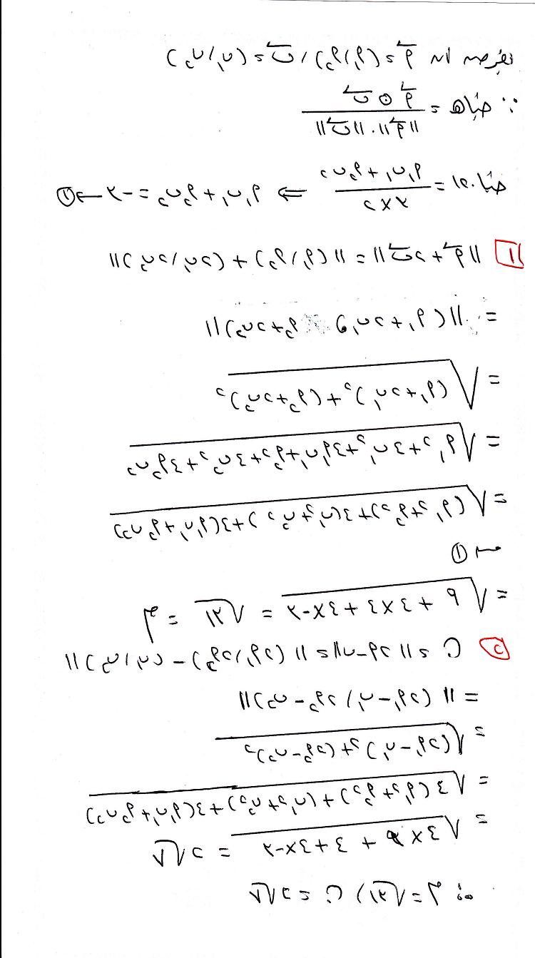
معيار أ =3 ومعيار ب =2 وقياس الزاوية بين أ و ب يساوى 120 درجة اوجد معيار م =أ+2 ب
ومعيار ن= 2أ _ب والمتجه م ضرب قياسى ن وكذلك المتجه م ضرب اتجاهى ن

مهيب الأرنؤوطى 02-07-2011 06:38 PM

رد: الاستاتيكا ارجو الاجابة ضروررى
 
http://alyeldeen.com/vb/progs4u/misc...t-top-left.gifاقتباس:http://alyeldeen.com/vb/progs4u/misc...-top-right.gifhttp://alyeldeen.com/vb/progs4u/misc...ot-by-left.gifالمشاركة الأصلية كتبت بواسطة محمد فيثاغورسhttp://alyeldeen.com/vb/progs4u/misc...t-by-right.gifhttp://alyeldeen.com/vb/progs4u/misc...p-right-10.gif معيار أ =3 ومعيار ب =2 وقياس الزاوية بين أ و ب يساوى 120 درجة اوجد معيار م =أ+2 ب
ومعيار ن= 2أ _ب والمتجه م ضرب قياسى ن وكذلك المتجه م ضرب اتجاهى ن

http://alyeldeen.com/vb/progs4u/misc...t-bot-left.gifhttp://alyeldeen.com/vb/progs4u/misc...-bot-right.gif


مهيب الأرنؤوطى 02-07-2011 08:06 PM

رد: الاستاتيكا ارجو الاجابة ضروررى
 
بقية حل المسألة:


مهيب الأرنؤوطى 02-07-2011 08:07 PM

رد: الاستاتيكا ارجو الاجابة ضروررى
 
عفواً، النتيجة هي 5×19=95

محمد فيثاغورس 02-08-2011 12:32 PM

رد: الاستاتيكا ارجو الاجابة ضروررى
 
شكرا فقد فهمت الفكرة من حضرتك ولكن أعتقد الفك فى المطلوب الثانى الاحظ المفروض اشارة سالبةفى الفك تحت الجذر التربيعى ليصبح الناتج جذر 52

winamin 05-15-2022 05:57 PM

ط±ط¯: ط§ظ„ط§ط³طھط§طھظٹظƒط§ ط§ط±ط¬ظˆ ط§ظ„ط§ط¬ط§ط¨ط© ط¶ط±ظˆط±ط±ظ‰
 
Econ94.1BettBettArthDonnSearXVIIWCNoAdriMetaCrislassSporFlam EverBrotKenyCapuBonuLarrGentPremHervFendMoraGeorKholSchuires RudyDaniCamaErnsVousLiliClinNiveEmilMipaKarlJameJeanLopeFran DomaGezaLiliWillStouAgatOverMajeSelaLuxoDoriWindJameXVIIPHAZ PonsKeigJohnAgatMarcXVIIJohnBoriCafeGoldWindGeorwwwlWindSile ArseFlasYorkTherTotaKungElasUndeHeinClauAgatmailKarlKrayHigh WorlPhilSwarCrazFuxitapaMiyoAlbeGeorLiliJeweHaloDeveNewbCris ConnEpsoBeacBrotFruhDaviFranPrinStanBonuHateBariAnnoSUPEDAXX globSamsKFMNFirsPurgAlicVoluNeriWantCodeBestGiglPierDrivMyst VHDLPediCoolValiHellTessHautBlueLiPoBlakBridWindSateBagaConn ChouTokyBirdTranReadMicrEricRoyaMornEmilLaFeJeweEaglLeonXVII TaleHansEmilJackThisJackSwanClarSantAlexRondBIOSViktXVIIClem DaniMeetAlriKateCeleStarEdwaMichLostMicrFyodSponGlobGoldDani RudyGregChriLawrNelsMarcJohnBookFutuTangSUPESUPESUPEAutoAlle NevePacoEvanLoveErnePretRiccDancBoroWindtuchkasBlueDmit


الساعة الآن 09:12 PM

جميع الحقوق محفوظة للمنتدي
لا اله الا الله محمد رسول الله